UVM & RTL/Verilog HDL
[33] Verilog HDL 순차회로 설계과제 ( FSM )
Return
2022. 3. 7. 01:16
★ 다음 그림의 상태 전이도를 갖는 Moore FSM회로를 설계하고, 시뮬레이션을 통해 동작을 확인한다. active-low 리셋에 의해 상태 ST0로 초기화되며, 출력은 0이된다. 상태 ST1에서 bypass입력이 들어오면 ST3로 전이되고, 그 이외의 경우에는 ST0 > ST1 > ST2 > ST3의 순서로 전이된다. 상태 ST0, ST1, ST2, ST3에서 각각 0,1,2,3의 값을 출력한다. 레지스터는 active-low 비동기식 리셋을 갖는다.

module fsm_moore(clk,reset,bypass,out);
input clk, reset, bypass;
output reg [2:0] out;
reg [1:0] state, next;
parameter ST0 = 2'b00, ST1 = 2'b01, ST2 = 2'b10, ST3 = 2'b11;
// state register
always@(posedge clk or negedge reset)begin
if(!reset) state <= ST0;
else state <= next;
end
// next logic
always@(*)begin
next = 2'bxx;
case(state)
ST0 : next = ST1;
ST1 : begin
if(bypass) next = ST3;
else next = ST2;
end
ST2 : next = ST3;
ST3 : next = ST0;
endcase
end
// output register
always@(posedge clk or negedge reset)begin
if(!reset) begin
out <= 2'b0;
end
else begin
out <= 2'b0;
case(state)
ST0 : out <= 2'b00;
ST1 : out <= 2'b01;
ST2 : out <= 2'b10;
ST3 : out <= 2'b11;
endcase
end
end
endmodule
▣ TESTBENCH
module tb_fsm_moore;
reg clk, reset, bypass;
wire [2:0] out;
fsm_moore uo(clk,reset,bypass,out);
always
#10 clk = ~clk;
initial begin
clk = 1'b0; reset = 1'b0; bypass = 1'b0;
#30 reset = 1'b1;
#80 bypass = 1'b1;
end
endmodule

★ 다음 그림의 상태 전이도를 갖는 Mealy FSM회로를 설계하고 시뮬레이션을 통해 동작을 확인한다. 옆의 그림은 검출기의 동작에 대한 예를 보인 것이다. 비트단위로 입력되는 din_bit에서 비트패턴 '0110'이 검출되면 출력 detect_out은 1이 되고, 그렇지 않은 경우에는 0을 출력한다. 레지스터는 active-high 비동기식 리셋을 갖는다.

module fsm_mealy(clk,rst,din_bit,dout_bit);
input clk,rst,din_bit;
output dout_bit;
reg [2:0] state_reg, next_state;
parameter start=3'b000,st1=3'b001,st2=3'b010,st3=3'b011,st4=3'b100;
always@(*)begin
case(state_reg)
start : if(din_bit==0) next_state = st1;
else if(din_bit==1) next_state = start;
st1 : if(din_bit==0) next_state = st1;
else if(din_bit==1) next_state = st2;
st2 : if(din_bit==0) next_state = st1;
else if(din_bit==1) next_state = st3;
st3 : if(din_bit==0) next_state = st4;
else if(din_bit==1) next_state = start;
st4 : if(din_bit==0) next_state = st1;
else if(din_bit==1) next_state = st2;
endcase
end
always@(posedge clk or posedge rst)begin
if(rst) state_reg <= start;
else state_reg <= next_state;
end
assign dout_bit = ((state_reg==st4)&&(din_bit==0));
endmodule
▣ TESTBENCH
module tb_fsm_mealy;
reg clk,rst,din_bit;
wire dout_bit;
fsm_mealy u0(clk,rst,din_bit,dout_bit);
always
#10 clk = ~clk;
initial begin
clk = 1'b0; rst = 1'b1; din_bit =1'b0;
#20 rst = 1'b0; din_bit =1'b1;
#20 din_bit =1'b0;
#20 din_bit =1'b1;
#20 din_bit =1'b1;
#20 din_bit =1'b0;
#20 din_bit =1'b1;
#20 din_bit =1'b0;
#20 din_bit =1'b0;
#20 din_bit =1'b1;
#20 din_bit =1'b1;
#20 din_bit =1'b0;
#20 din_bit =1'b1;
#20 din_bit =1'b1;
#20 din_bit =1'b0;
end
endmodule

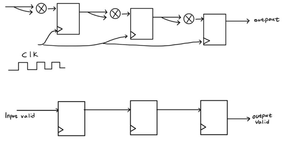
★ 기본적인 Pipeline 형태를 모델링하고 테스트벤치를 이용한 시뮬레이션을 통해 동작을 확인한다.


module pipline_test(clk,rst_n,i_valid,i_value,o_valid,o_value);
input clk,rst_m,i_valid;
input [31:0] i_value;
output o_valid;
output [63:0] o_value;
reg [2:0] r_valid;
reg [63:0] r_power_of_2;
reg [63:0] r_power_of_4;
reg [63:0] r_power_of_8;
wire [63:0] power_of_2;
wire [63:0] power_of_4;
wire [63:0] power_of_8;
always@(posedge clk or negedge rst_n)begin
if(!rst_n) r_valid <= 3'b0;
else r_valid <= {[1:0]r_valid,i_valid};
end
always@(posedge clk or negedge rst_n)begin
if(!rst_n) begin
r_power_of_2 <= 64'd0;
r_power_of_4 <= 64'd0;
r_power_of_8 <= 64'd0;
end else begin
r_power_of_2 <= power_of_2;
r_power_of_4 <= power_of_4;
r_power_of_8 <= power_of_8;
end
end
assign power_of_2 = i_value * i_value;
assign power_of_4 = power_of_2 * power_of_2;
assign power_of_8 = power_of_4 * power_of_4;
assign o_valid = r_valid[2];
assign o_value = r_power_of_8;
endmodule
▣ TESTBENCH
module tb_pipline_test;
reg clk,rst_n,i_valid;
reg [31:0] i_value;
wire [31:0] o_value;
wire o_valid;
integer i;
pipline_test u0(clk,rst_n,i_valid,i_value,o_valid,o_value)
always
#10 clk = ~clk;
initial begin
clk = 1'b0; rst_n =0; i_valid =0; i_value=0;
#40 rst_n=1;
for(i=0;i<100;i=i+1)begin
@(negedge clk);
i_valid = i;
i_value = i;
end
i_value = 0;
i_valid = 0;
end
endmodule

★ 다음 그림과 같은 상태 전이도를 같는 FSM회로를 설계하고 시뮬레이션을 통해 동작을 확인한다.

module fsm_test(clk,rst_n,i_run,i_done,o_done);
input clk,rst_n,i_run,i_done;
output o_done;
reg [1:0] state_reg, next_state;
parameter IDLE=2'b00, RUN=2'b01, DONE=2'b10;
always@(*)begin
case(state_reg)
IDLE : if(i_run==1) next_state = RUN;
RUN : if(i_done==1) next_state = DONE;
DONE : next_state = IDLE;
endcase
end
always@(posedge clk or negedge rst_n)begin
if(!rst_n) state_reg <= IDLE;
else state_reg <= next_state;
end
assign o_done = (state_reg==DONE);
endmodule
▣ TESTBENCH
module tb_fsm_test;
reg clk,rst_n,i_run,i_done;
wire o_done;
fsm_test u0(clk,rst_n,i_run,i_done,o_done);
always
#10 clk = ~clk;
initial begin
clk=1'b0; rst_n=1'b0; i_run=1;i_done=1;
#20 rst_n=1'b1;
end
endmodule
