Voltage-Dependent current Source
> 전압에 비례해 전류를 발생시키는 즉, 전압 종속 전류원은 증폭기로 동작할 수 있습니다. 만약 KR(L)이 1보다 크다면 이 신호는 증폭되었음을 알 수 있습니다.

전류의 방향은 반시계방향이고 그로인한 V(out)= -K*V(in)*R(L)
전류는 기본적으로 전압이 높은 곳에서 낮은 곳으로 흐르기 때문에(전류의 방향이반대이므로) V(out)의 부호가 음수이다.


이상적으로, 그림과 같이 BJT 트랜지스터는 1번,2번의 터미널의 전위차 즉, V1에 비례하여 전류가 3번에서 2번으로 I(s)*exp(V1/V(T)) 만큼 흐른다.
우리는 전류가 2번,3번 터미널의 전위차에 비례하지 않는 점을 주목해야 하는데 밑의 그래프를 참고해보자.

위의 그래프는 pn 결합다이오드의 역방향 / 순방향 바이어스에 걸린 전압에 대한 전류의 흐름을 나타내고 있는데 순방향 바이어스에서는 V(D)에 비례하여 I(D)가 증가하는 것을 알 수 있지만 그에 반해 역방향 바이어스에서 I(D) 는 V(D)에 비례하지 않고 일정한 전류를 유지 하고있는 것을 알 수 있습니다. 이를 이용해 좀 더 캐리어를 추가해 특정값으로 일정하게 하자는 아이디어가 BJT 입니다.
BJT Structure and Circuit Symbol

BJT의 구조는 npn 구조와 pnp 구조가 있지만 여기에서는 npn BJT기준으로 설명 함을 알린다.
npn 즉, n형 반도체 2개 사이에 p형 반도체가 결합되어 있는 구조입니다. 에미터에서 도핑을 강하게 하여 전자를 콜렉터 쪽으로 방출하고 그로인해 전류는 콜렉터에서 에미터쪽으로 흐릅니다. 그때의 전류/전자의 양을 조절하는 것이 베이스 입니다. 그림에서는 에미터 콜렉터 베이스 3가지 동일한 크기로 표현하였지만 이는 보기에 도움을 줄 뿐 실제로 Base는 매우 얇습니다.
앞에서 말한 1번터미널이 Base 2번 터미널이 Emitter 3번 터미널이 Collector입니다. 즉, 컬렉터에서 에미터로 흐르는 전류는 V(BE)에 비례해 흐르는 것 입니다.

우리가 중요하게 봐야될 부분은 Active Mode 인데 Base-Emitter 접합이 역방향이면 전류가 흐르지 않고 앞에 봤듯이 일정한 전류를 (전압과 무관하게) 보낼려면 Collector-Emitter 접합이 역방향 바이어스여야 함을 다시 한번 알 수 있습니다.
Forward active mode에서의 npn BJT Operation

에미터에서 전자를 방출 하기 시작하면 p영역에서 정공과 전자가 재결합해야 하지만 Base가 워낙 얇기 때문에 거의 재결합을 하지않고 위의 n영역에 전자들이 도착한다. 이때 이부분은 Reveres 바이어스된 상태라 공핍층이 넓어지면서 이온들에 의해 전기장이 생기는데 이부분에 도착한 전자들은 전기장에 의해 p영역에서 n영역으로 올라간다. 이로 인해 생기는 전류가 I(C)이고 p영역에서 정공에 의해 생기는 전류가 I(B)이며 이 두개를 합한 전류가 I(E)가 된다. Base에서 흘러나온 전류는 매우 적으므로 컬럭터 전류와 비교하기 위한 current gain 상수 B (약 100)이라 생각한다.
BJT Design
> well-designed 된 BJT는 current gain 값이 큰 것을 의미 합니다. 이는 Base 영역에서 정공과 전자의 재결합이 거의 일어나지 않는것을 의미합니다. 즉 W(B)가 좁아 Base에서 재결합 전에 전자가 Collector에 도착합니다.
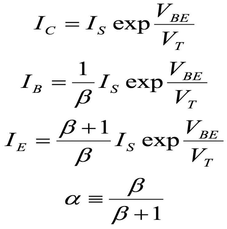
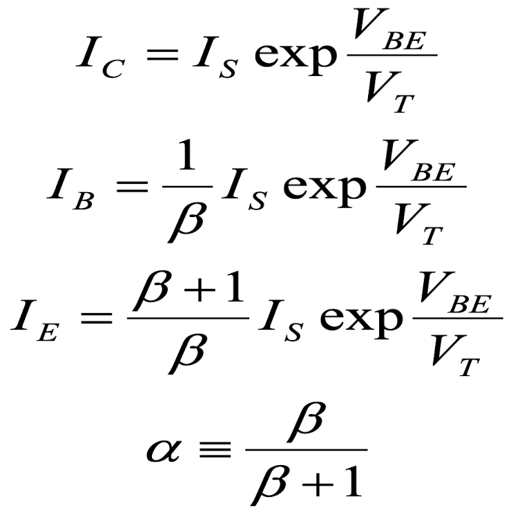
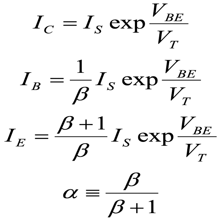
자 이제 I(E) 와 I(C) , I(B)의 관계를 다 알았으니 하나의 전류값만 알 수 있으면 모든 터미널에서 흐르는 전류의 값을 알 수 있습니다.

Summary of BJT Currents

Parallel Combination of Transistors

Simple BJT Amplifier Configuration

출력을 전압으로 나타내고 싶으면 어떻게 하면 될까? 간단하다. 출력 전류가 이미 흐르고 있으므로 출력 단자에 저항을 이어주면 자연스럽게 출력 전류에 대한 전압이 형성된다. 이를 위는 이를 이용한 증폭기(CE증폭기)이다.

이상적으로(얼리효과 제외)는 base-emitter 전압이 일정한 값 V1으로 고정되어 있으면 V(CE)에 무관하게 전류가 일정합니다.

만약 R(L)이 너무 클때 그로인한 전압 강하도 커져 V(X)의 전압이 0.8V이하로 떨어지기 되면 컬렉터 결합이 역방향이 아니라 순방향 바이어스로 된다. 이 경우 BJT는 더이상 active mode로 동작하지 않는다.
BJT I-V 특성

'Circuit > 전자회로' 카테고리의 다른 글
| 9) BJT 증폭기 [라자비 전자회로] (0) | 2021.09.30 |
|---|---|
| 8) BJT 물리2 [라자비 전자회로] (0) | 2021.09.30 |
| 6) 다이오드 모델과 회로4 [라자비 전자회로] (0) | 2021.09.29 |
| 5) 다이오드 모델과 회로 3[라자비 전자회로] (0) | 2021.09.29 |
| 4) 다이오드 모델과 회로2 [라자비 전자회로] (0) | 2021.09.29 |
포스팅이 좋았다면 "좋아요❤️" 또는 "구독👍🏻" 해주세요!