Common-Emitter (CE) Topology
여기서common은 ground라 생각한다. 즉 그림과 같이 Emitter가 ground 처리된 모델을 말한다.

Small Signal of CE Amplifier

g(m)R(c) = I(c)R(c)/V(T) 이므로 gain이 커지려면 V(RC)를 키워야 하는데 이는 V(cc)를 키우는 것과 같다.
I/O Impedances of CE Stage
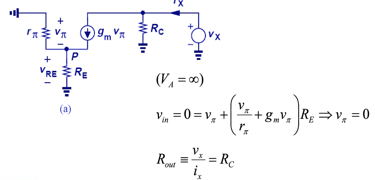
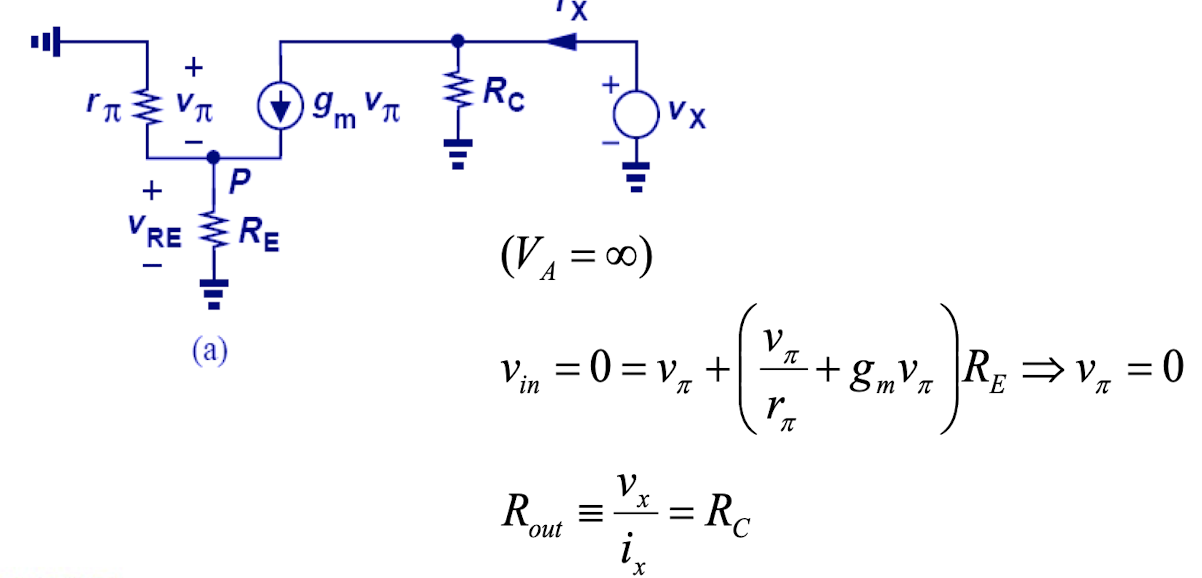
출력 임피던스를 측정하고자 할대 입력 단자를 그라운드 시켜 V(in)=0이 되도록 한다.

Early Effect를 고려한 CE amplifer

r(o)가 추가되어 R(c)가 병렬적으로 형성되어 있어 gain 과 출력임피던스의 변화가 있지만 입력 임피던스R(in)는 변화 없다.
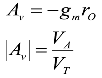
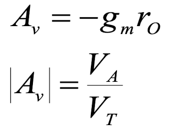
Intrinsic Gain : 최대로 얻을 수 있는 gain
위와 같이 병렬 구조의 저항은 R(c)가 무한대가 될다 가장 커진다. 즉, 최대 gain 은 다음과 같다.

current gain A(I)

Emitter Degeneration(에미터에 저항 추가한 모델)
Small-Signal Analysis

위의 그림과 같이 gain을 쉽게 구하는 방법은 -[컬렉터에서 본 총 임피던스 / 에미터에서 본 총 임피던스]
Emitter Degeneration Example1
여러개의 BJT가 있을때 임피던스로 치환하여 gain을 구한다.

Emitter Degeneration Example2

Input Impedance of Degenerated CE Stage

Output Impedance of Degenerated CE Stage

Summary of Degenerated CE Stage : Input / Output Impedances

'Circuit > 전자회로' 카테고리의 다른 글
| 18) Op Amp2 [라자비 전자회로] (0) | 2021.10.11 |
|---|---|
| 17) Op Amp1 [라자비 전자회로] (0) | 2021.10.11 |
| 10) BJT 증폭기2 [라자비 전자회로] (0) | 2021.09.30 |
| 9) BJT 증폭기 [라자비 전자회로] (0) | 2021.09.30 |
| 8) BJT 물리2 [라자비 전자회로] (0) | 2021.09.30 |
포스팅이 좋았다면 "좋아요❤️" 또는 "구독👍🏻" 해주세요!